Помогите решить
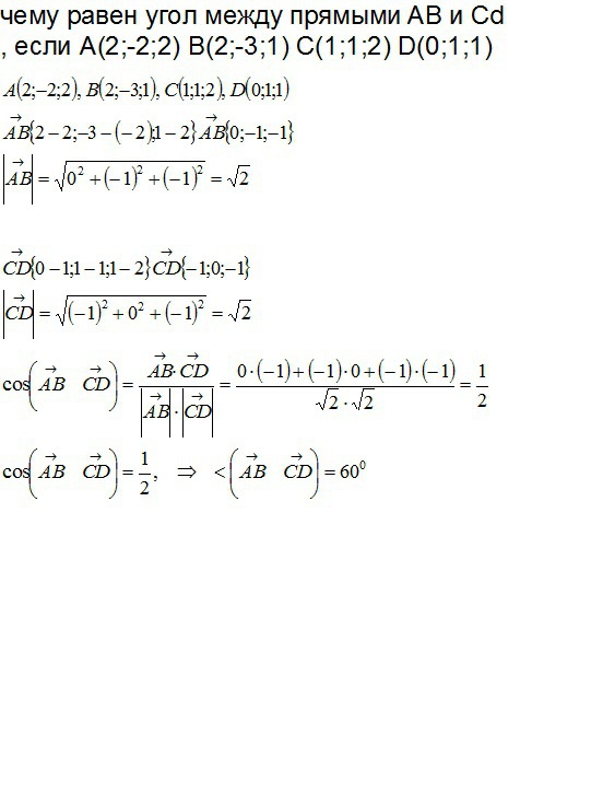
1)Чему равен угол между прямыми AB и Cd , если A(2;-2;2) B(2;-3;1) C(1;1;2) D(0;1;1)?
Приложения:

Ответы
Ответ дал:
0
решение во вложении----------------------
Приложения:

Вас заинтересует
2 года назад
7 лет назад
7 лет назад
9 лет назад
9 лет назад