• Предмет: Алгебра
  • Автор: nstropina13
  • Вопрос задан 9 лет назад

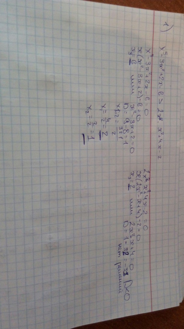
Номер 149, под (1) , решите подробно

Приложения:

Ответы

Ответ дал: ymnikkom
0
запиши ответ как тебе нужно
Приложения:
Вас заинтересует