Ответы
Ответ дал:
0
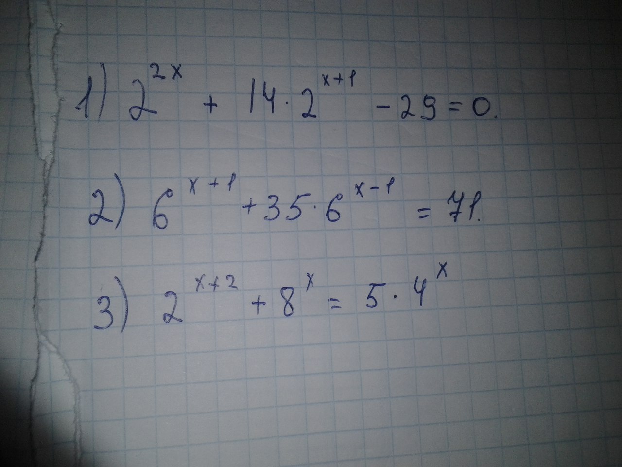
1) Пусть
, тогда получаем
t²+28t-29=0
D=900
t1=1; t2=-29
Подставляем в замену
⇒ х=0, второй корень -29 выпадает, потому что 2 в любой степени не даст отрицательного числа
2) 6*
+
=71
=71
⇒ x=1
3)
Пусть
Тогда получаем
t³-5t²+4t=0 ⇒ t(t²-5t+4)=0
t1=0 и t²-5t+4=0
D=3
t2=4; t3=1
Подставляем вместо замены
⇒ x=2
⇒ x=0
И третий корень t=0 не подходит, потому что 2 в любой степень не будет равно нулю
t²+28t-29=0
D=900
t1=1; t2=-29
Подставляем в замену
2) 6*
3)
Пусть
Тогда получаем
t³-5t²+4t=0 ⇒ t(t²-5t+4)=0
t1=0 и t²-5t+4=0
D=3
t2=4; t3=1
Подставляем вместо замены
И третий корень t=0 не подходит, потому что 2 в любой степень не будет равно нулю
Вас заинтересует
3 года назад
3 года назад
7 лет назад
10 лет назад
10 лет назад
10 лет назад
10 лет назад