• Предмет: Математика
  • Автор: yablochkovanina
  • Вопрос задан 9 лет назад

помогите математики.срочно

Приложения:

Ответы

Ответ дал: NNNLLL54
0
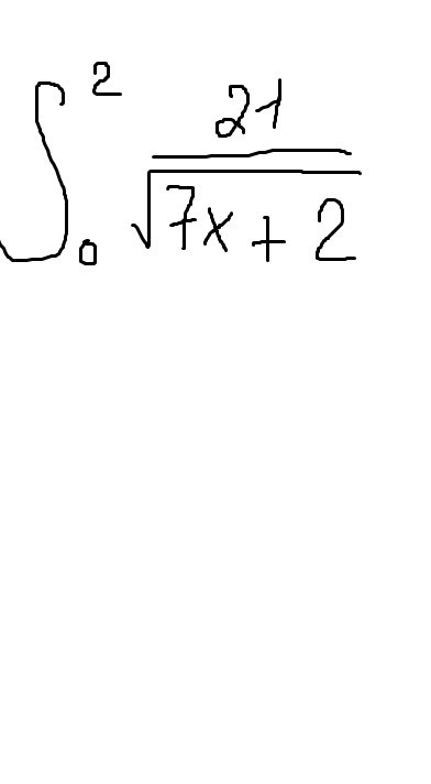
int _0^2frac{dx}{sqrt{7x+2}}=[, t=7x+2; ,; dt=7, dx; ,t_1=7cdot 0+2=2\\t_2=7cdot 2+2=16; ]= frac{1}{7} cdot int_2^{16} frac{dt}{sqrt{t}}= frac{1}{7} cdot 2sqrt{t}, |_2^{16}=\\=frac{2}{7}cdot (sqrt{16}-sqrt2)=frac{2}{7}cdot (4-sqrt2)= frac{2sqrt2}{7} cdot(2sqrt2-1)
Ответ дал: yablochkovanina
0
Спасибо большущее)))))***
Вас заинтересует