Ответы
Ответ дал:
0
оооотттттввввеееетттт
25,7+13 3/4 = 39 9/20
25,7+13 3/4 = 39 9/20
Ответ дал:
0
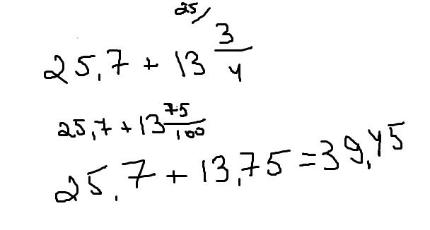
если это 13 целых и три четвертых, то вот:
Приложения:

Ответ дал:
0
8,8+13 5/7
Ответ дал:
0
22 18/35
Ответ дал:
0
да не за что;)
Вас заинтересует
2 года назад
7 лет назад
7 лет назад
9 лет назад
9 лет назад
10 лет назад
10 лет назад