• Предмет: Математика
  • Автор: dinyy3435
  • Вопрос задан 9 лет назад

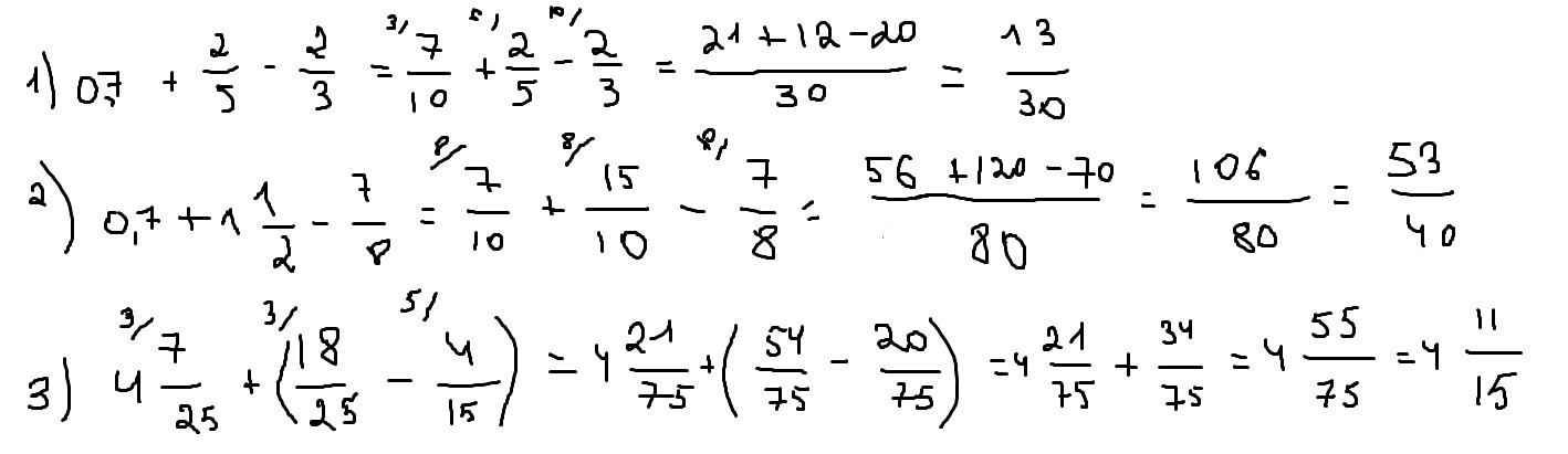
Решите где галочки пожалуйста

Приложения:

Ответы

Ответ дал: dielly
0
решила первые 3, а потом надоело))
Приложения:
Вас заинтересует