• Предмет: Алгебра
  • Автор: marc99marc
  • Вопрос задан 9 лет назад

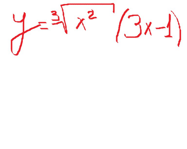
Вычислите производную функции
в картинке

Приложения:

Ответы

Ответ дал: svjatun
0
y'=( x^{ frac{2}{3} } (3x-1))'= frac{2}{3} x^{- frac{1}{3} } *(3x-1)+ x^{ frac{2}{3} } *3x
Вас заинтересует