Исследуйте на четность и нечетность функции:
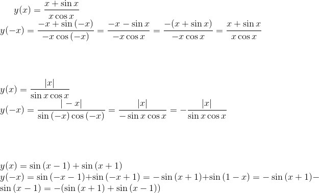
y=(x+sinx)/(xcosx)
y=|x|/(sinxcosx)
y=sin(x-1)+sin(x+1)
Ответы
Ответ дал:
0
Функция
называется чётной, если для каждого
из её области определения выполняется
.
Функция
называется нечётной, если для каждого
из её области определения выполняется
.
см. приложение.
Соответственно, первая функция чётная, вторая и третья — нечётные.
Функция
см. приложение.
Соответственно, первая функция чётная, вторая и третья — нечётные.
Приложения:

Вас заинтересует
2 года назад
2 года назад
7 лет назад
9 лет назад
10 лет назад