срочноооооо
1. Во сколько раз надо увеличить начальную скорость брошенного вертикального вверх тела, что высота подъема увеличилась в 2 раза ?
помогите пожалуйста очень надо(
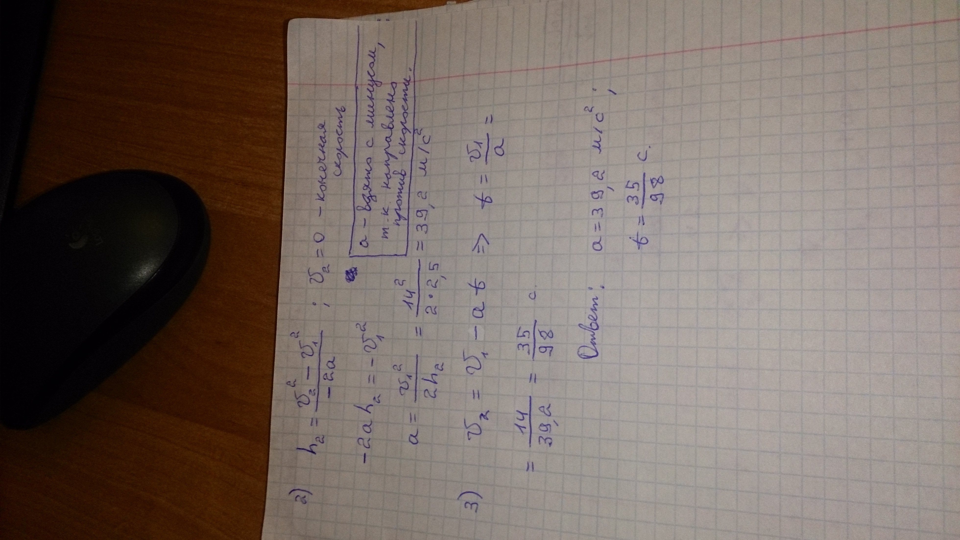
2. Пловец, спрыгнув с семиметровой вышки , погрузился в волу на глубину 2.5м. Сколько времени и с каким ускорением он двигался в воде?
даю 70 б )
Ответы
Ответ дал:
0
.............Решение на фото...............
Приложения:


Ответ дал:
0
спасибо)
Вас заинтересует
2 года назад
2 года назад
7 лет назад
9 лет назад
9 лет назад
10 лет назад