ученикам 7 класса ВОПРОС
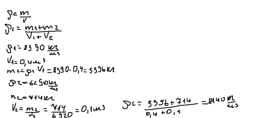
Сплав изготовлен из меди объёмом 0,4м3 и цинка массы 710кг.
Найдите плотность сплава.
Ответы
Ответ дал:
0
Ответ приложил в фото
Приложения:

Вас заинтересует
2 года назад
2 года назад
7 лет назад
7 лет назад
9 лет назад
9 лет назад
10 лет назад
10 лет назад