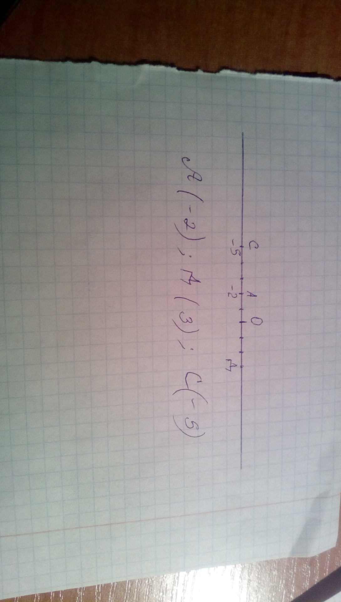
Начертите координатную прямую и отметьте на ней точки А (-2).Точка Д лежит на расстоянии на 5 единичных отрезках ив положительном направлении от точки А
а точка С лежит на расстоянии 3 единичных отрезков в отрицательных от точки А.Напишите координаты точек Д и С.Помогите с контрольным плизз на завтра надо
Ответы
Ответ дал:
0
лови!!!!!!!!!!!!!¡!!!!
Приложения:

Ответ дал:
0
спасибо большое
Вас заинтересует
2 года назад
2 года назад
7 лет назад
7 лет назад
9 лет назад
9 лет назад
10 лет назад