Ответы
Ответ дал:
0
Всё просто и понятно!!!!!!!!!!!!
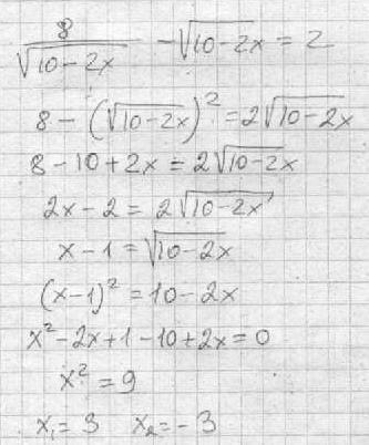
Приложения:

Ответ дал:
0
На самом деле ничего сложного.
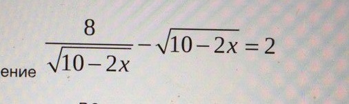
Корень арифметический, то есть не отрицательный. Замена √(10-2x)=y
8/y-y=2
y^2+2y-8=0
(y+4)(y-2)=0
y1=√(10-2x)=-4<0 - не подходит
y2=√(10-2x)=2
10-2x=4; x=3
Корень арифметический, то есть не отрицательный. Замена √(10-2x)=y
8/y-y=2
y^2+2y-8=0
(y+4)(y-2)=0
y1=√(10-2x)=-4<0 - не подходит
y2=√(10-2x)=2
10-2x=4; x=3
Приложения:

Вас заинтересует
2 года назад
2 года назад
7 лет назад
7 лет назад
9 лет назад
9 лет назад
10 лет назад
10 лет назад