• Предмет: Алгебра
  • Автор: husan01
  • Вопрос задан 9 лет назад

как найти сумму всех целых решений неравенства?
x²+6x+5<0

Ответы

Ответ дал: Александра000koli
0
это только ответ,ибо скачай фотоматч и делай сам
Приложения:
Ответ дал: Александра000koli
0
Ты сказал молодец
Ответ дал: Александра000koli
0
Что докопался?
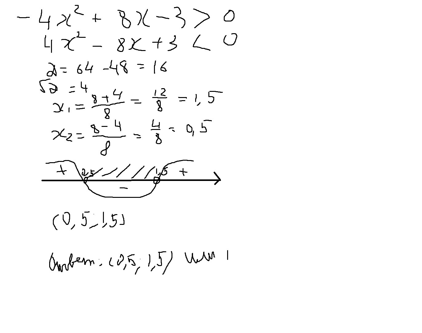
Ответ дал: komando1337
0
Нужно решить не равенство и сложить все доступные целые решения (см. рисунок)
Приложения:
Вас заинтересует