• Предмет: Математика
  • Автор: babadzhansaida
  • Вопрос задан 9 лет назад

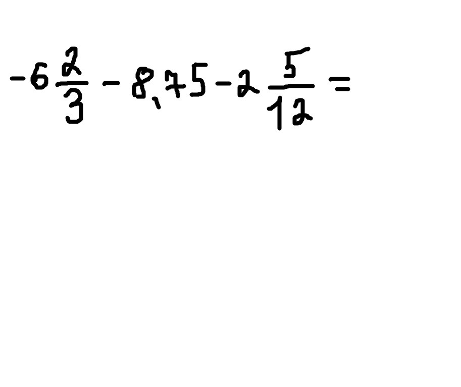
Помогите пж срочно, это задание на сложение отрицательных чисел.

Приложения:

Ответы

Ответ дал: Аслан1231
0
-20/3-35/4-29/12=(-80-105-29)/12=-214/12-107/6=-17 5/6
Вас заинтересует