• Предмет: Алгебра
  • Автор: Alibi00
  • Вопрос задан 9 лет назад

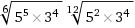
30 баллов. Найдите значение выражения (см. влож.)

Приложения:

Ответы

Ответ дал: fadarm
0
 5^{ frac{5}{6} } * 5^{ frac{1}6} } * 3^{ frac{2}{3} } * 3^{ frac{1}{3} } =5*3=15
Вас заинтересует