Ответы
Ответ дал:
0
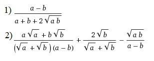
1) (a-b)/(√a +√b)²=(a-b)(√a -√b)/(√a +√b)²* (√a -√b)= (a-b)(√a -√b)/(√a +√b)(a-b)= (√a -√b)/(√a +√b)
2)(a√a-b√b+2a√b-2b√b-a√b-b√a)/((√a+√b)(a-b))=(a√a-b√b+a√b-b√a)/((√a+√b)(a-b))=(a(√a+√b)-b(√a+√b))/((√a+√b)(a-b))=((a-b)(√a+√b))/ ((√a+√b)(a-b))==1
2)(a√a-b√b+2a√b-2b√b-a√b-b√a)/((√a+√b)(a-b))=(a√a-b√b+a√b-b√a)/((√a+√b)(a-b))=(a(√a+√b)-b(√a+√b))/((√a+√b)(a-b))=((a-b)(√a+√b))/ ((√a+√b)(a-b))==1
Вас заинтересует
3 года назад
3 года назад
7 лет назад
7 лет назад
10 лет назад
10 лет назад