Ответы
Ответ дал:
0
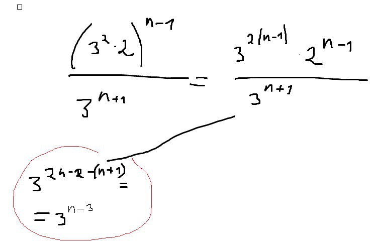
тут дробью на решать
Приложения:

Ответ дал:
0
дааа
Ответ дал:
0
дальше не знаю как решать
Вас заинтересует
2 года назад
7 лет назад
7 лет назад
9 лет назад
9 лет назад
10 лет назад