• Предмет: Математика
  • Автор: lina7timokhovich
  • Вопрос задан 9 лет назад

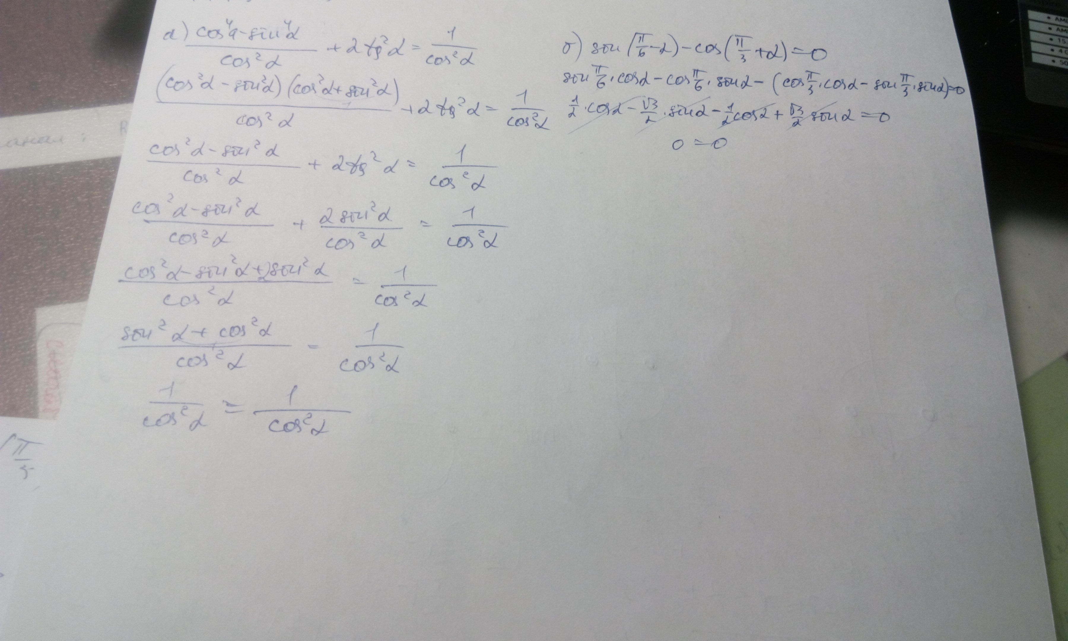
Докажите, пожалуйста торжества

Приложения:

Ответы

Ответ дал: irinan2014
0
Всё подробно написала в решении.
Приложения:
Вас заинтересует