Ответы
Ответ дал:
0
первое 2, второе 8.5, третье 0.0045, 4 четвёртое 0.04
Ответ дал:
0
нашел
Ответ дал:
0
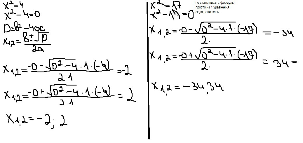
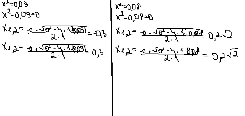
вот держи)))))вроде правильно
Приложения:


Вас заинтересует
2 года назад
2 года назад
7 лет назад
9 лет назад
9 лет назад