• Предмет: Математика
  • Автор: kolia319
  • Вопрос задан 9 лет назад

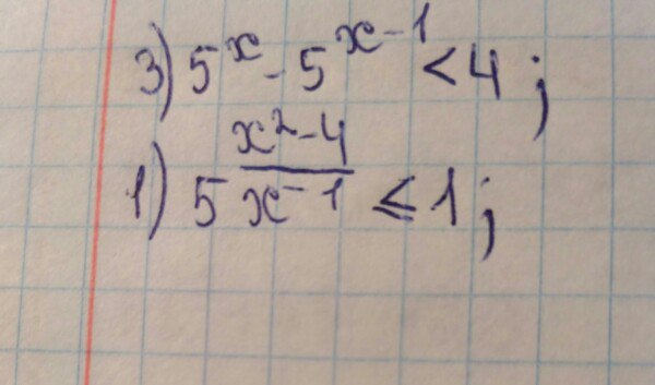
очень срочно помогите

Приложения:

Ответы

Ответ дал: marinkadvoryac
0
В 1) тоже степень? Или это 5*дробь?
Ответ дал: marinkadvoryac
0
подучается х^2-4/x-1<=0 (x-2)(x+2)/x-1 x=2, x=-2 x<>1 методом интервалов три точки двойки закрашенные кружки, 1 незакоашенный получается х€(-беск.;-2] U (1;2]
Ответ дал: marinkadvoryac
0
Пожалуйста
Ответ дал: kolia319
0
показательные неравенства ?
Вас заинтересует