• Предмет: Геометрия
  • Автор: wotgameswot
  • Вопрос задан 9 лет назад

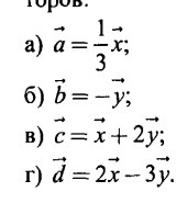
даны векторы x{6 3} и y{-2 1} Найдите координаты векторов

Приложения:

Ответы

Ответ дал: Alenka22100105
0
посмотри в учебнике на странице 155
Вас заинтересует