• Предмет: Математика
  • Автор: Maks048
  • Вопрос задан 9 лет назад

Помогите решить пожалуйста

Приложения:

Ответы

Ответ дал: XAMKA15
0
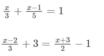
5x+3x-3=15
8x=18
x=2целыx1/4

2x-4+18=3x+9-6
x=11
Вас заинтересует