Ответы
Ответ дал:
0
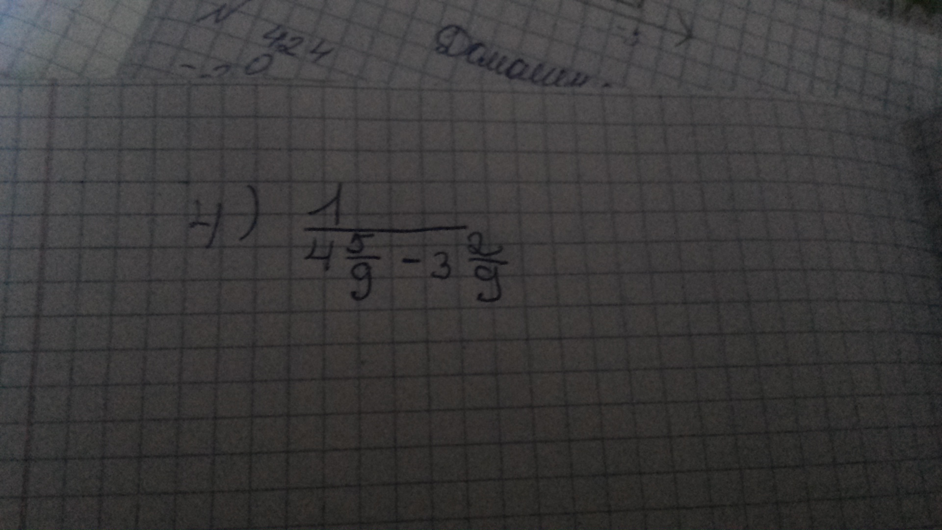
1. Найдем значение знаменателя
4⁵/₉ - 3²/₉=1³/₉=1¹/3
2. 1: 1¹/₃=1:⁴/₃=1·³/₄=³/₄=0,75
4⁵/₉ - 3²/₉=1³/₉=1¹/3
2. 1: 1¹/₃=1:⁴/₃=1·³/₄=³/₄=0,75
Вас заинтересует
2 года назад
2 года назад
7 лет назад
7 лет назад
10 лет назад
10 лет назад
10 лет назад