• Предмет: Математика
  • Автор: andrakovskaya
  • Вопрос задан 9 лет назад

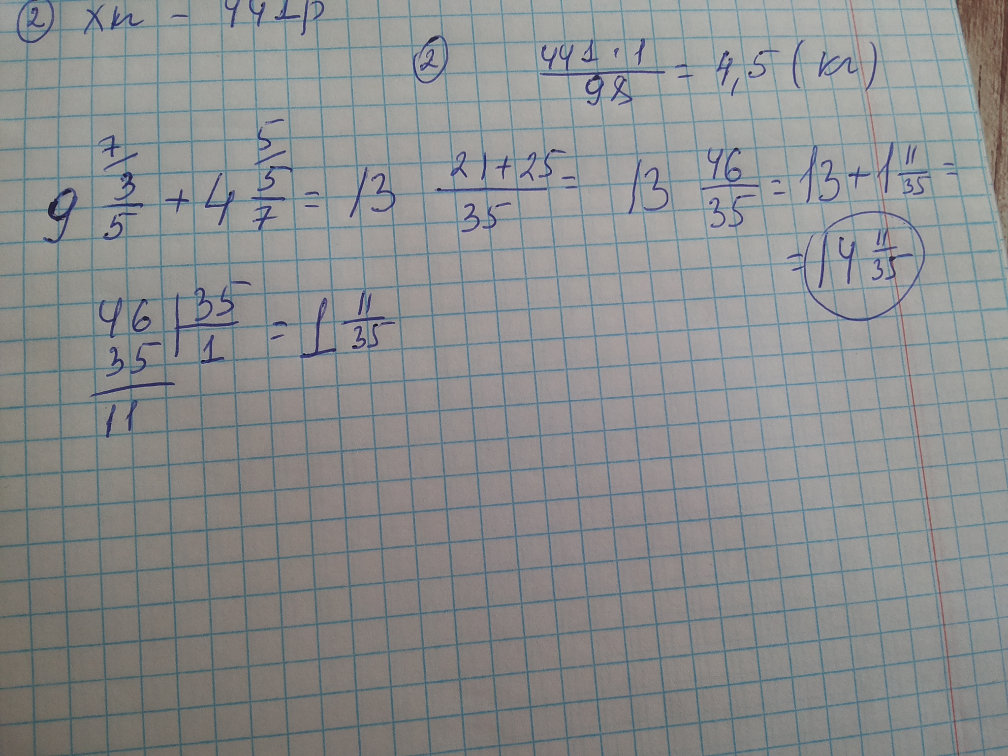
Выполните сложение 9целых3/5+ 4целых 5/7

Ответы

Ответ дал: anarmetova
0
Вот тебе решение примера
Приложения:
Ответ дал: Эмма423
0
9целых21/35+4целых25/35=14целых11/35
Приложения:
Вас заинтересует