• Предмет: Алгебра
  • Автор: Slepish
  • Вопрос задан 9 лет назад

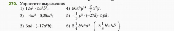
Пж, срочно! очень срочно пожалуйста!

Приложения:

Ответы

Ответ дал: Лексия
0
Обращайся, если будут вопросы)
Приложения:
Вас заинтересует