• Предмет: Математика
  • Автор: alhaan7545
  • Вопрос задан 9 лет назад

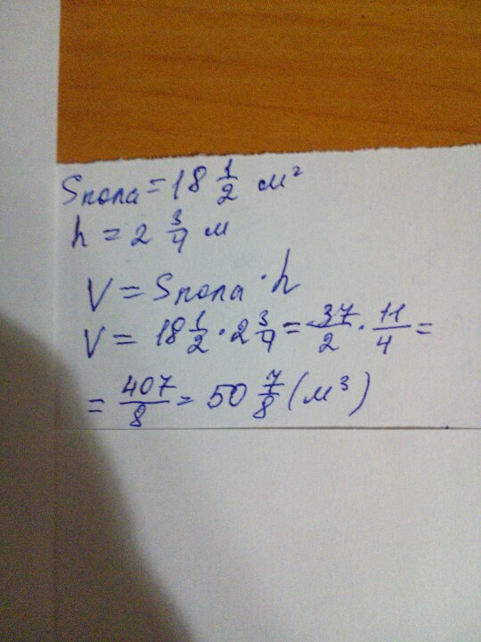
Площадь пола комнаты 18 1/2 квадратных метров, а её высота 2 3/4 м. Вычислить объём комнаты. Помогите, пожалуйста.

Ответы

Ответ дал: Вероника8
0
держи)))))))))))))))))))))))
Приложения:
Ответ дал: alhaan7545
0
Как я сам не догадался! Спасибо. Надо было вот так решать.
Вас заинтересует