• Предмет: Математика
  • Автор: Лизунчик200610
  • Вопрос задан 9 лет назад

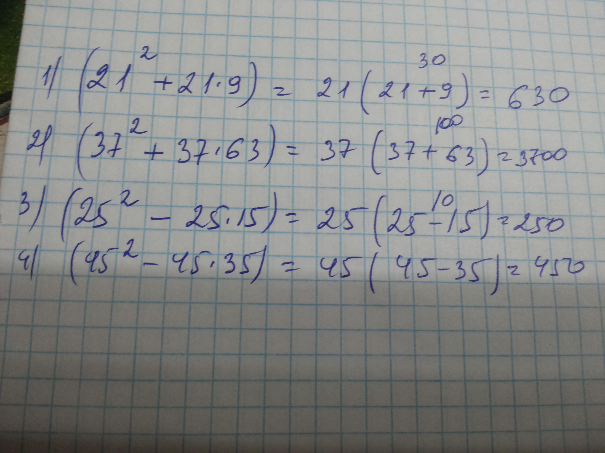
Вычислите, используя распределительное свойство: а) 21 в степени 2 + 21*9, б) 37 в степени 2 + 37*63, в) 25 в степени 2 - 25*15, г) 45 в степени 2 - 45*35. Пожалуйста помогите.

Ответы

Ответ дал: anarmetova
0
Примеры решенно по закону распред
Приложения:
Вас заинтересует