• Предмет: Алгебра
  • Автор: Julia0fox
  • Вопрос задан 9 лет назад

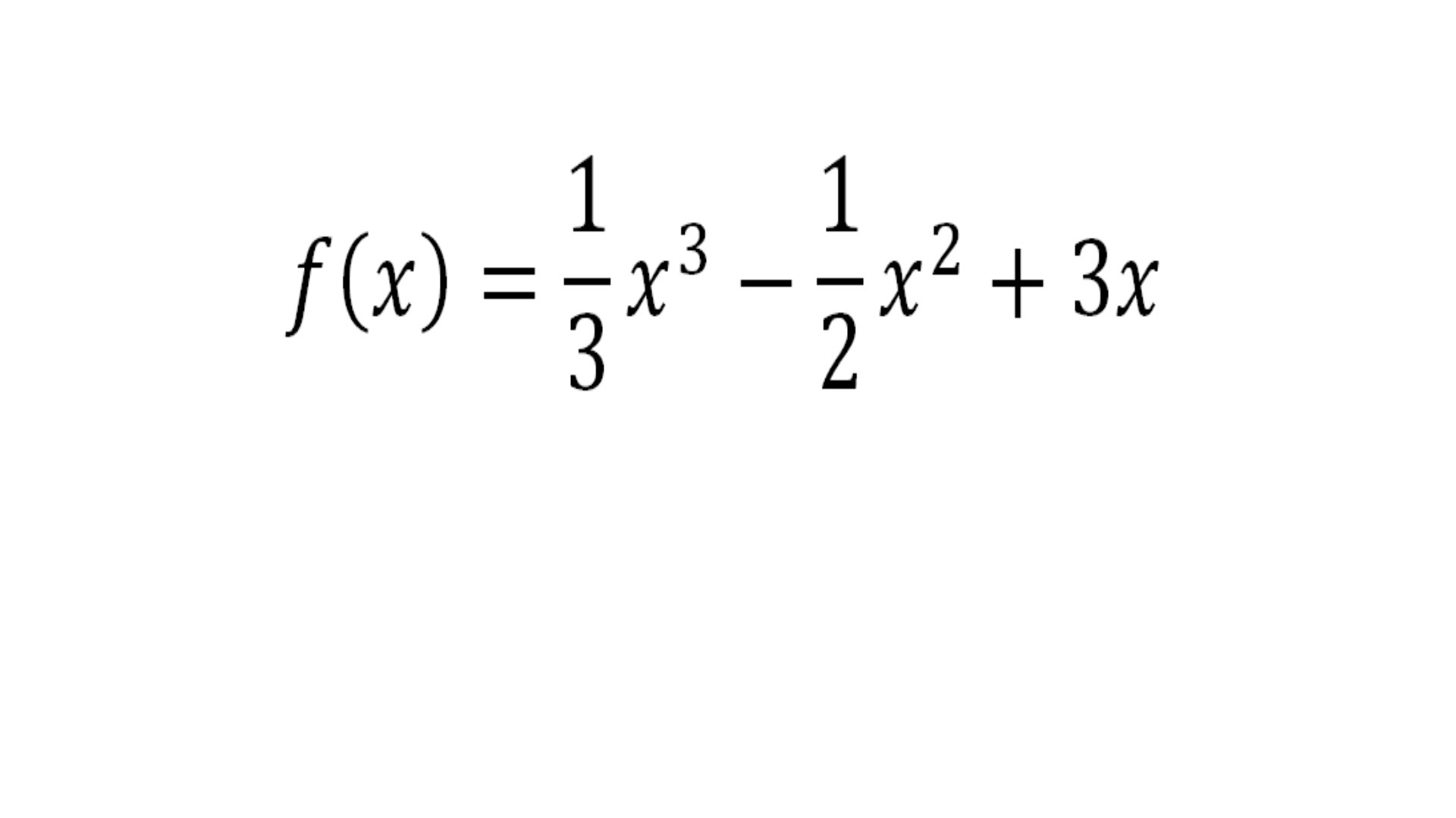
Дана функция (на картинке)
1) Используя определение производной, найти f ' (x).

Приложения:

Ответы

Ответ дал: kristinanehaeva
0
f`(x)=3*1/3*x^2-2*1/2*x+3=x^2-x+3
Ответ дал: 90misha90
0
frac{df(x)}{dx}= lim_{Delta x to 0} frac{f(x+Delta x)-f(x)}{Delta x}=

=lim_{Delta x to 0} frac{frac{1}{3}(x+Delta x)^3-frac{1}{2}(x+Delta x)^2+3(x+Delta x)-frac{1}{3}x^3+frac{1}{2}x^2-3x}{Delta x}=

=lim_{Delta x to 0} frac{frac{1}{3}(x+Delta x)^3-frac{1}{3}x^3}{Delta x}-lim_{Delta x to 0} frac{frac{1}{2}(x+Delta x)^2-frac{1}{2}x^2}{Delta x}+

+lim_{Delta x to 0} frac{3(x+Delta x)-3x}{Delta x}=

=frac{1}{3}lim_{Delta x to 0} frac{(x+Delta x)^3-x^3}{Delta x}-frac{1}{2}lim_{Delta x to 0} frac{(x+Delta x)^2-x^2}{Delta x}+

+3lim_{Delta x to 0} frac{(x+Delta x)-x}{Delta x}=

=frac{1}{3}lim_{Delta x to 0} frac{x^3+3x^2Delta x+3xDelta x^2+Delta x^3-x^3}{Delta x}-frac{1}{2}lim_{Delta x to 0} frac{x^2+2xDelta x+Delta x^2-x^2}{Delta x}+

+3lim_{Delta x to 0} frac{Delta x}{Delta x}=

=frac{1}{3}lim_{Delta x to 0} frac{3x^2Delta x+3xDelta x^2+Delta x^3}{Delta x}-frac{1}{2}lim_{Delta x to 0} frac{2xDelta x+Delta x^2}{Delta x}+ 3lim_{Delta x to 0} 1 =

=frac{1}{3}lim_{Delta x to 0} (3x^2+3xDelta x+Delta x^2)-frac{1}{2}lim_{Delta x to 0} (2x+Delta x)+

+3lim_{Delta x to 0} 1 =

=frac{1}{3}*(3x^2+3x*0+0^2)-frac{1}{2}*(2x+Delta x)+3*1=x^2-x+3
Вас заинтересует