• Предмет: Алгебра
  • Автор: Аноним
  • Вопрос задан 9 лет назад

СРОЧНО!!!
Очень надо, помогите

Приложения:

Ответы

Ответ дал: irinan2014
0
Решение дано на фото.
Приложения:
Ответ дал: Shatunchik16
0
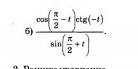
cos(П/2-t)*ctg(-t)/sin(П/2+t)=-cost*(-ctg)/cost=ctgt
Приложения:
Вас заинтересует