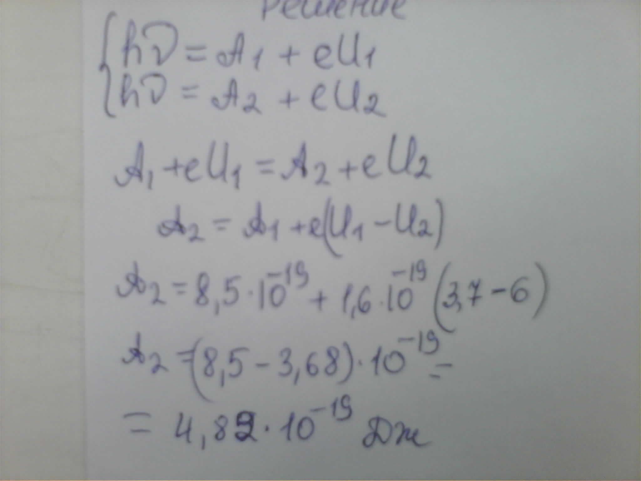
На платиновую пластинку(катод),падают ультрафиолетовые лучи.Напряжение U1=3,7В.Если пластинку платины заменить пластинкой другого металла,то напряжение нужно увеличить до U2=6В.Определите работу выхода электронов из этого металла.Работа выхода электронов из платины Авых1=8,5*10-19стДж.Элементарный заряд е=1,6*10-19стКл.
Ответы
Ответ дал:
13
ответ на фото\\\\\\\\\\\\\\\\\\\\\\\\
Приложения:

Вас заинтересует
2 года назад
2 года назад
2 года назад
7 лет назад
9 лет назад