Ответы
Ответ дал:
0
6
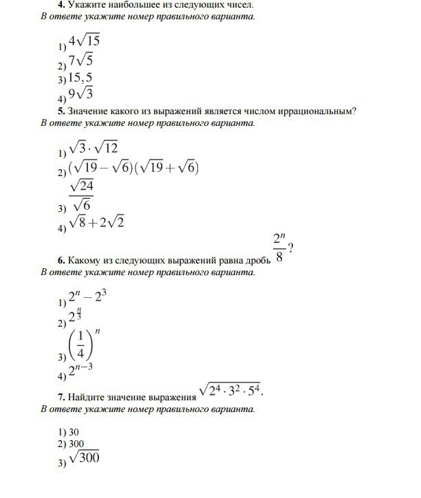
2^n/8=2^n/2³=2^(n-3)
Ответ 4
7
√(2^4*3²*5^4)=2²*3*5²=4*3*25=300
Ответ 2
9
(1,7*10^-5)*(2*10^-2)=(1,7*2)*(10^-5*10^-2)=3,4*10:-7=0,00000034
Ответ 4
10
1)√35≈5,9
2)2√7≈5,3
3)6
4)√6+√7≈2,45+2,65≈5,1
Ответ 3
2^n/8=2^n/2³=2^(n-3)
Ответ 4
7
√(2^4*3²*5^4)=2²*3*5²=4*3*25=300
Ответ 2
9
(1,7*10^-5)*(2*10^-2)=(1,7*2)*(10^-5*10^-2)=3,4*10:-7=0,00000034
Ответ 4
10
1)√35≈5,9
2)2√7≈5,3
3)6
4)√6+√7≈2,45+2,65≈5,1
Ответ 3
Вас заинтересует
3 года назад
3 года назад
7 лет назад
7 лет назад
10 лет назад
10 лет назад
10 лет назад