Ответы
Ответ дал:
0
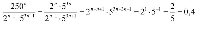
см. вложение
============================================
Приложения:

Вас заинтересует
8 лет назад
8 лет назад
10 лет назад
10 лет назад
10 лет назад