• Предмет: Математика
  • Автор: Justie1
  • Вопрос задан 9 лет назад

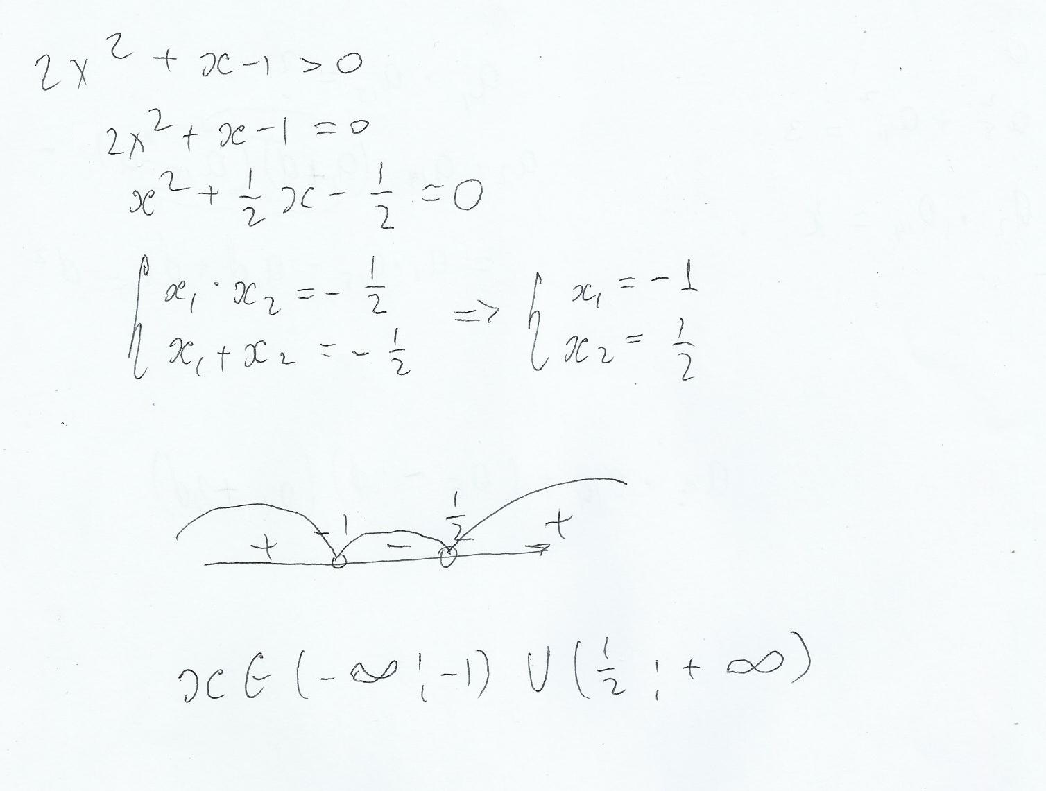
решите неравенство 2x^2+x-1>0.

Ответы

Ответ дал: Нау4пок
0

Решение во вложении.

Приложения:
Вас заинтересует