• Предмет: Математика
  • Автор: noname169
  • Вопрос задан 9 лет назад

помогите!
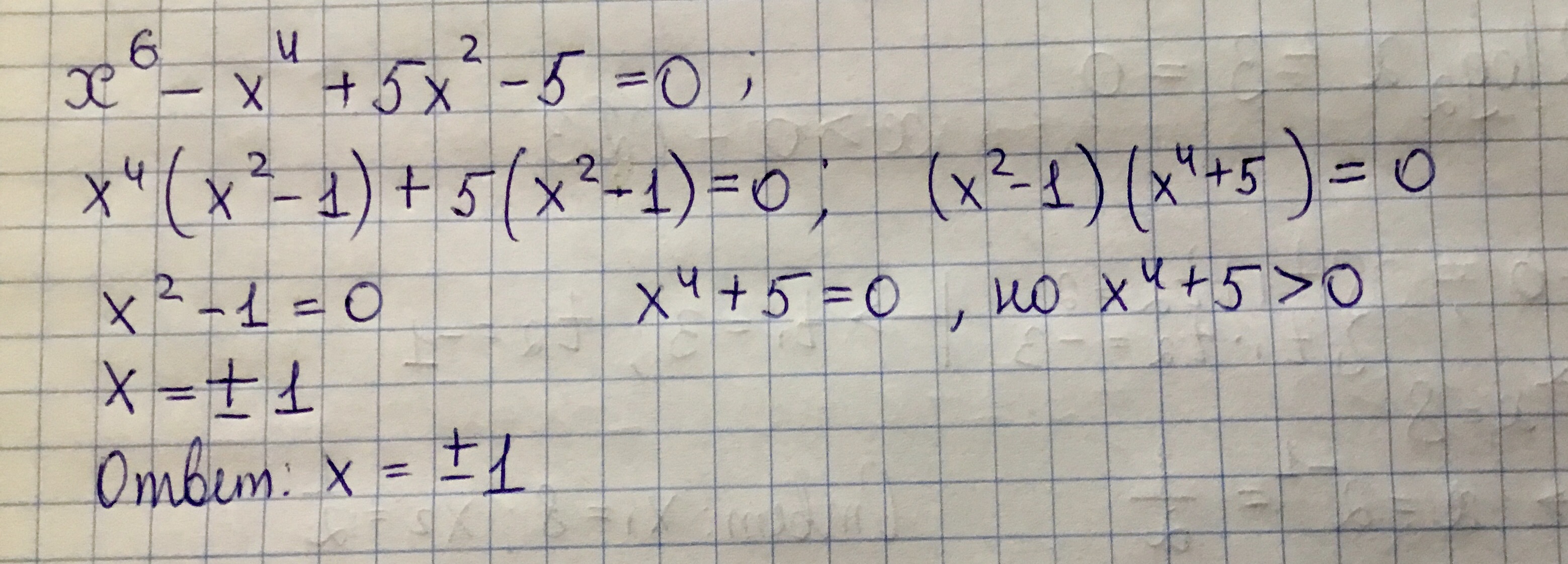
x^6-x^4+5x^2-5=0

Ответы

Ответ дал: Arch1tect
0
________________________
Приложения:
Вас заинтересует