• Предмет: Алгебра
  • Автор: dhollandia2016
  • Вопрос задан 9 лет назад

номер 9 пожалуйста....

Приложения:

Ответы

Ответ дал: starsm
0
-2 надеюсь само решение не требуется
Ответ дал: kiraquinn
0
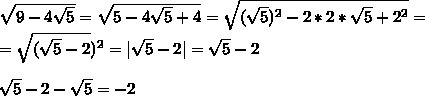
надо представить подкоренное выражение как квадрат разности)
Приложения:
Вас заинтересует