Ответы
Ответ дал:
0
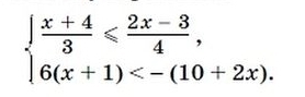
{(x+4)/3≤(2x-3)/4⇒4x+16≤6x-9⇒6x-4x≥16+9⇒2x≥25⇒x≥12,5
{6(x+1)<-(10+2x)⇒6x+6<-10-2x⇒6x+2x<-10-6⇒8x<-16⇒x<-2
нет решения
{6(x+1)<-(10+2x)⇒6x+6<-10-2x⇒6x+2x<-10-6⇒8x<-16⇒x<-2
нет решения
Вас заинтересует
3 года назад
7 лет назад
7 лет назад
10 лет назад
10 лет назад