Ответы
Ответ дал:
0
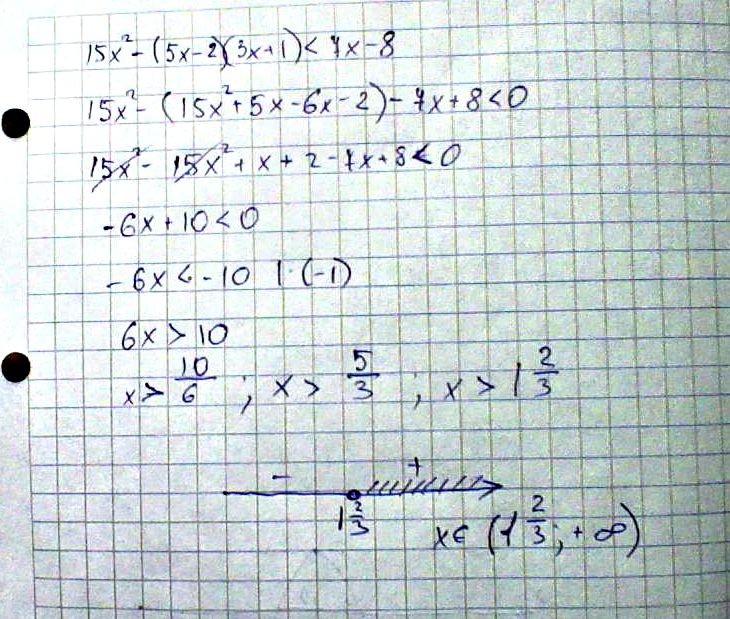
15x^2-(5x-2)(3x+1)<7x-8
X>5/3
X>5/3
Ответ дал:
0
...............................
Приложения:

Вас заинтересует
2 года назад
8 лет назад
8 лет назад
10 лет назад