ЗАДАНИЕ ТОЛЬКО ДЛЯ УМНЫХ! ОТЛИЧНИКОВ! И Т.Д.
2 вариант!
Задания делать правильно и ясно.
Приложения:

Ответы
Ответ дал:
0
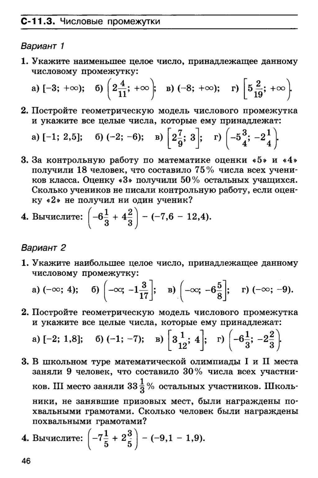
1) а) 3
б) -2
в) -7
г) -10/
2) не знаю что есть такое геометрическая модель, но числа скажу
а) -2, -1,0,1
б) 0,1,2,3,4,5,6
в) 4
г) -6,-5,-4,-3
3) 9 человек - 30 %
значит всего было 27
27*0,33333(3)=9
9 человек - 1 и 2места
9 человек - 3 место
осталось 9
ответ 9 человек
4) -4,6+11=6,4
б) -2
в) -7
г) -10/
2) не знаю что есть такое геометрическая модель, но числа скажу
а) -2, -1,0,1
б) 0,1,2,3,4,5,6
в) 4
г) -6,-5,-4,-3
3) 9 человек - 30 %
значит всего было 27
27*0,33333(3)=9
9 человек - 1 и 2места
9 человек - 3 место
осталось 9
ответ 9 человек
4) -4,6+11=6,4
Вас заинтересует
2 года назад
2 года назад
7 лет назад
7 лет назад
9 лет назад
9 лет назад