Ответы
Ответ дал:
0
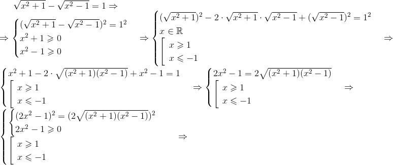
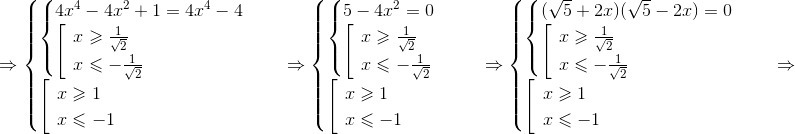
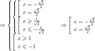
Возводим обе части уравнения в квадрат, не забывая про ОДЗ:
см. приложения.
Ответ:
см. приложения.
Ответ:
Приложения:



Вас заинтересует
2 года назад
7 лет назад
7 лет назад
9 лет назад
10 лет назад