• Предмет: Алгебра
  • Автор: Julia0fox
  • Вопрос задан 9 лет назад

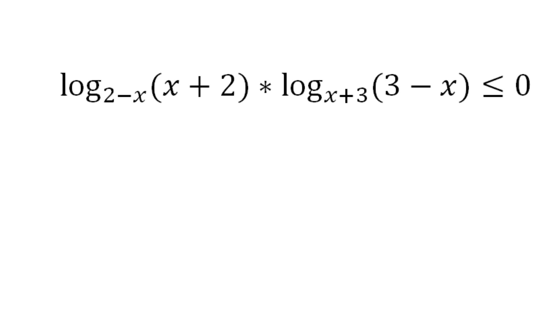
Решить неравенство (фото)

Приложения:

Ответы

Ответ дал: 90misha90
0
log_{2-x}(x+2)*log_{x+3(3-x)} leq 0

 left { {{log_{2-x}(x+2)*log_{x+3}(3-x) leq 0} atop {}2-x textgreater  0,and,2-x neq 1,and,x+2 textgreater  0,and,x+3 textgreater  0,and,x+3 neq 1,and,3-x textgreater  0} right.

 left { {{log_{2-x}(x+2)*log_{x+3}(3-x) leq 0} atop {x textless  2,and,x neq 1,and,x textgreater  -2,and,x textgreater  -3,and,x neq -2,and,x textless  3}} right.

 left { {{log_{2-x}(x+2)*log_{x+3}(3-x) leq 0} atop {-2 textless  x textless  2,and,x neq 1,and,x neq -2,and,-3 textless  x textless  3}} right.

 left { {{log_{2-x}(x+2)*log_{x+3}(3-x) leq 0} atop {-2 textless  x textless  2,and,x neq 1} right.

 left { {{log_{2-x}(x+2)*log_{x+3}(3-x) leq 0} atop {xin(-2;1)cup(1;2)} right.

left { {{log_{2-x}(x+2) geq 0,and,log_{x+3}(3-x) leq 0} atop {xin(-2;1)cup(1;2)} right.,or, left { {{log_{2-x}(x+2) leq 0,and,log_{x+3}(3-x) geq 0} atop {xin(-2;1)cup(1;2)} right.

решим отдельно неравенство(без учёта всех ограничений) log_{2-x}(x+2) geq 0:
left { {{x+2 leq 1} atop {0 textless  2-x textless  1}} right.,or,left { {{x+2 geq 1} atop {2-x textgreater  1}} right.

left { {{x leq -1} atop {1 textless  x textless  2}} right.,or,left { {{x geq -1} atop {x textless  1}} right.

решений нету, по этому следующая совокупность:
 
left { {{log_{2-x}(x+2) geq 0,and,log_{x+3}(3-x) leq 0} atop {xin(-2;1)cup(1;2)} right.,or, left { {{log_{2-x}(x+2) leq 0,and,log_{x+3}(3-x) geq 0} atop {xin(-2;1)cup(1;2)} right.

эквивалентна системе:
left { {{log_{2-x}(x+2) leq 0,and,log_{x+3}(3-x) geq 0} atop {xin(-2;1)cup(1;2)} right.

решим отдельно неравенство(без учета всех ограничений) log_{2-x}(x+2) leq 0:
left { {{x+2 geq 1} atop {0 textless  2-x textless  1}} right.,or,left { {{x+2 leq 1} atop {2-x textgreater  1}} right.

left { {{x geq -1} atop {1 textless  x textless  2}} right.,or,left { {{x leq -1} atop {x textless  1}} right.

1 textless  x textless  2,or,x leq -1

xin(-infty;-1)cup(1;2)

Решим отдельно неравенство(без учета всех ограничений) log_{x+3}(3-x) geq 0:

left { {{0 textless  x+3 textless  1} atop {3-x leq 1}} right.,or, left { {{x+3 textgreater  1} atop {3-x geq 1}} right.

left { {{-3 textless  x textless  -2} atop {x geq 2}} right.,or, left { {{x textgreater  -2} atop {x leq 2}} right.

как видно неравенство не имеет решений даже без учета всех ограничений

значит система:
left { {{log_{2-x}(x+2) leq 0,and,log_{x+3}(3-x) geq 0} atop {xin(-2;1)cup(1;2)} right.

эквивалентна системе:
left { {{log_{2-x}(x+2) leq 0,and,xin emptyset } atop {xin(-2;1)cup(1;2)} right.

left { {xin emptyset } atop {xin(-2;1)cup(1;2)} right.

xin emptyset
Вас заинтересует