• Предмет: Алгебра
  • Автор: psix098
  • Вопрос задан 9 лет назад

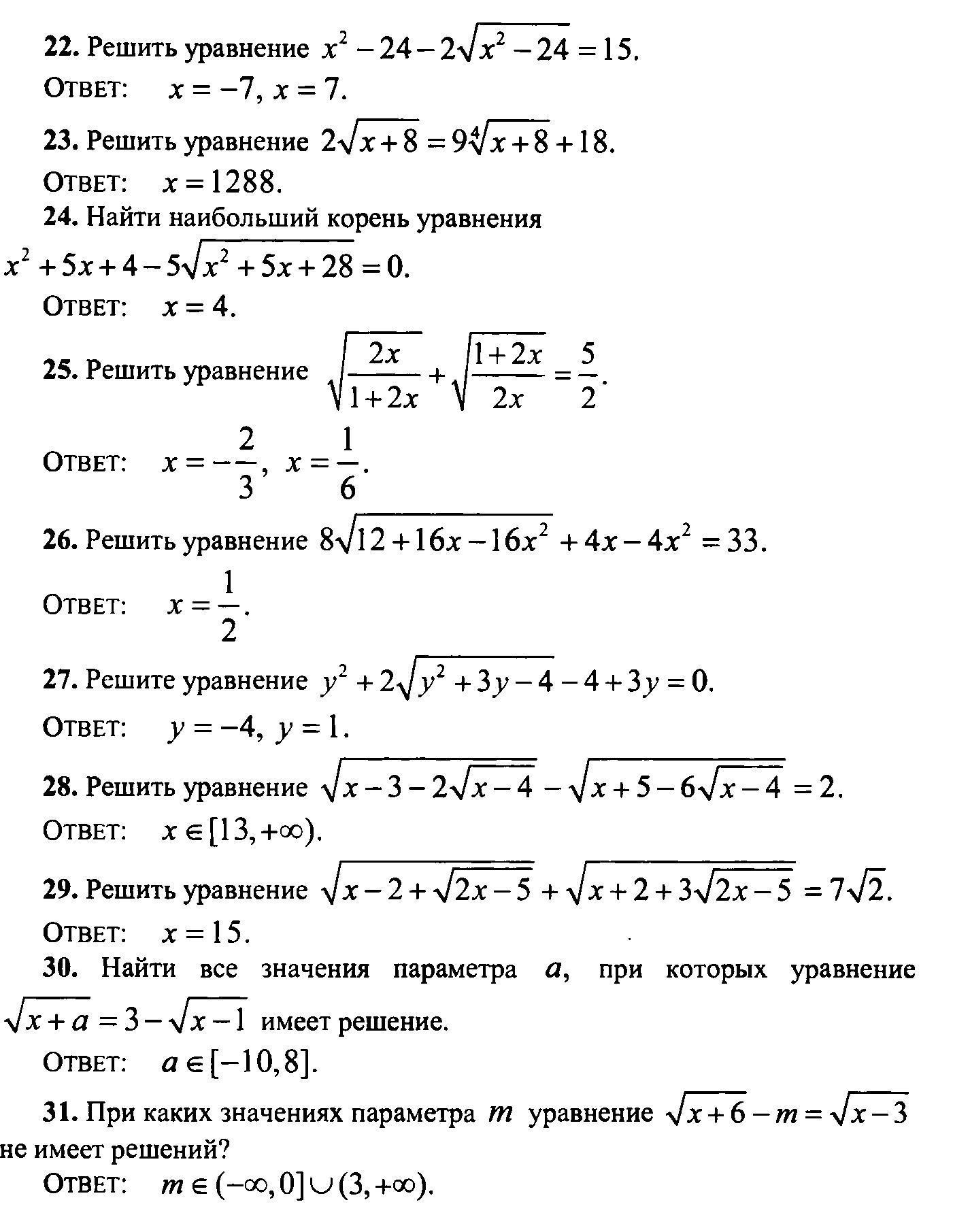
Ребят очень срочно помогите решить.

Приложения:

Ответы

Ответ дал: djein2
0
Какие номера делать?
Вас заинтересует