• Предмет: Математика
  • Автор: DMDMDMDM
  • Вопрос задан 9 лет назад

Пожалуйстааа решите, умоляю

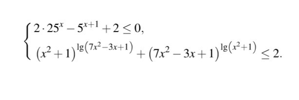
Приложения:

Ответы

Ответ дал: poddubny1953
0
Знаю, но уже поздно.
Вас заинтересует