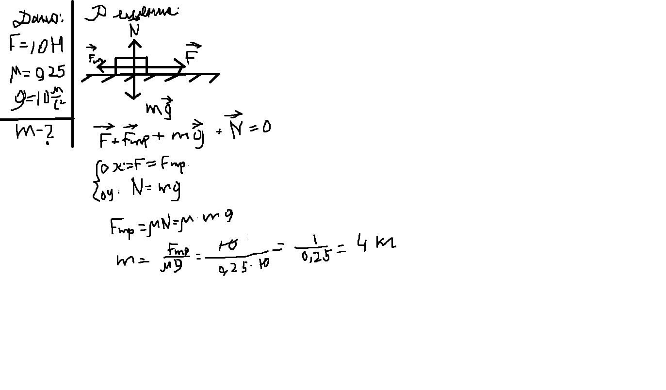
Тело тянут горизонтально и равномерно с силой 10 Н по поверхности с коэффициентом трения 0,25. Определите массу тела. Ускорение свободного падения считать равным 10 м/с2.
Ответы
Ответ дал:
0
Решение на картинке, смотри
Приложения:

Вас заинтересует
2 года назад
2 года назад
7 лет назад
7 лет назад
10 лет назад
10 лет назад