Ответы
Ответ дал:
0
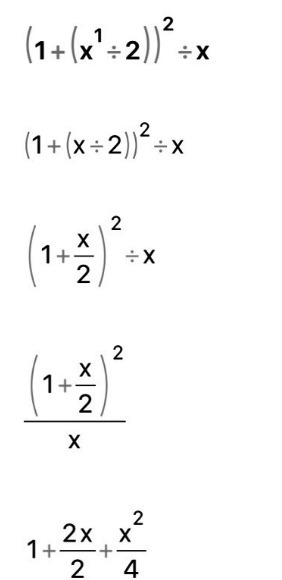
То что красное, это ответ. Надеюсь помогла. Хорошего дня.
Приложения:


Вас заинтересует
2 года назад
2 года назад
7 лет назад
7 лет назад
9 лет назад
9 лет назад