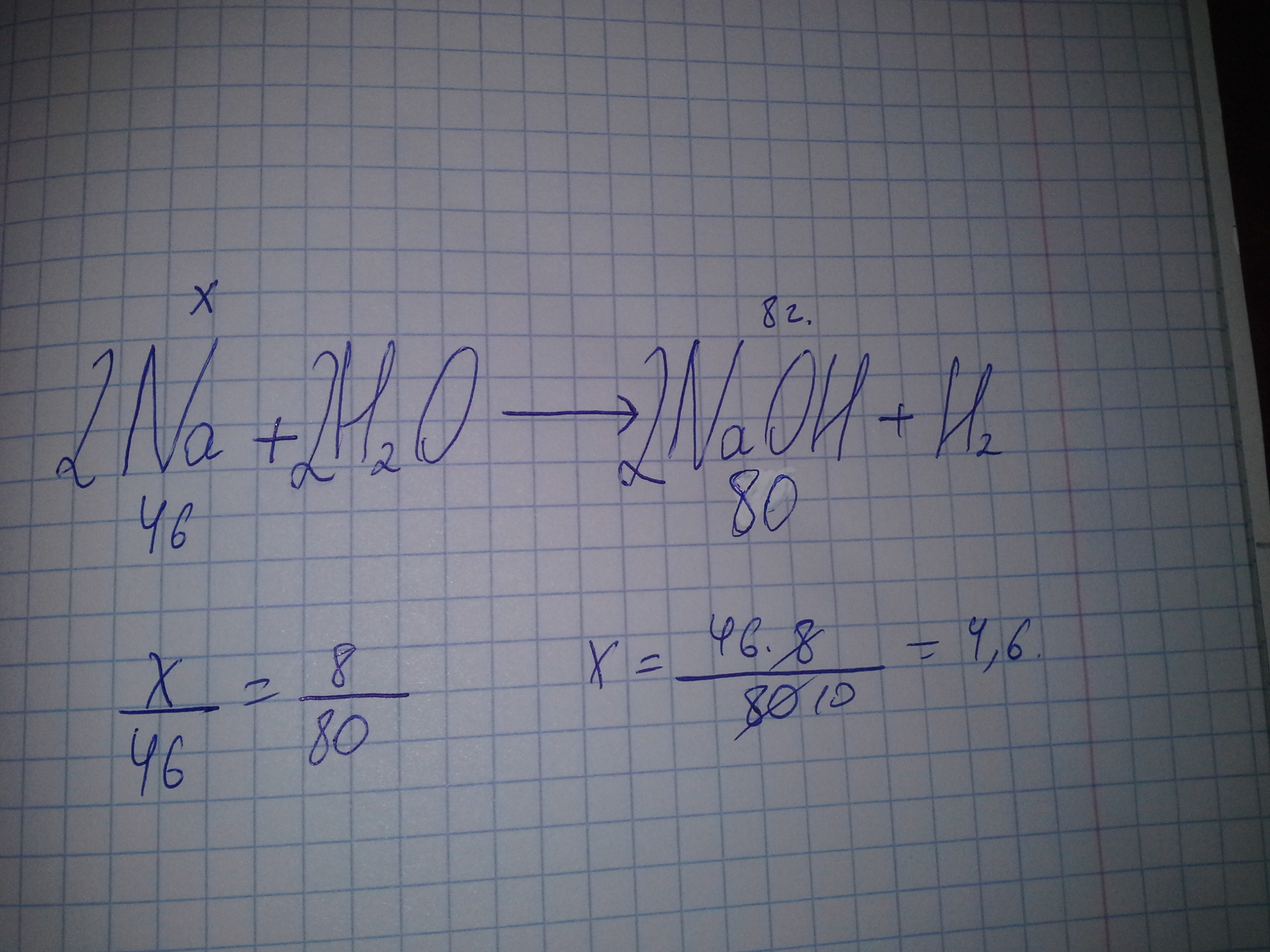
При взаимодействии натрия с водой образовалось 8г гидроксида натрия. Какова масса натрия,вступившего в реакцию?
Ответы
Ответ дал:
0
Пишем реакцию , ставим коэффициенты и потом расставляем нам данное число. Находим молярную массу реагирующих веществ , составляем пропорцию . И все.
Приложения:
Вас заинтересует
3 года назад
3 года назад
7 лет назад
7 лет назад
10 лет назад
10 лет назад
10 лет назад