• Предмет: Химия
  • Автор: Αλεξανδρα
  • Вопрос задан 9 лет назад

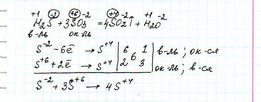
Как получить из сероводорода оксид серы 4 валентности?

Ответы

Ответ дал: Stasya210
0
4 валентности? Может это степень окисления 4?
2 H2S + 3O2 = 2SO2 + 2H2O
Ответ дал: AlexHiMiK
0
Решение задания с оформлением. Желаю удачи!
Приложения:
Ответ дал: Αλεξανδρα
0
Спасибо большое!
Вас заинтересует