Объясните пожалуйста, как получилось уравнение 7t^2-6t-1???
Вообще не пойму, все правильно решала, а в этом моменте ступор
Приложения:
Ответы
Ответ дал:
0
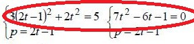
получается : 3(4t^2-4t+1)+2t^2-5=0
Далее раскрываете скобки. 12t^2-12t+3+2t^2-5=0
Вот и все: 14t^2-12t-2=0 /:2
7t^2-6t-1=0
Дальше при помощи дискриминанта
Далее раскрываете скобки. 12t^2-12t+3+2t^2-5=0
Вот и все: 14t^2-12t-2=0 /:2
7t^2-6t-1=0
Дальше при помощи дискриминанта
Ответ дал:
0
вы подправьте ответ.а то удалят
Ответ дал:
0
под вашим решением есть сноска изменить нажмите ее и исправьте
Ответ дал:
0
Не могли бы вы еще помочь?
Ответ дал:
0
что нужно?
Ответ дал:
0
3(2t-1)²+2t²-5=0 ⇒ 3(4t²-4t+1)+2t²-5=12t²-12t+3+2t²-5=14t²-12t-2=0
14t²-12t-2 | разделим каждый член на 2 (сократим коэффициенты)
7t²-6t-1=0
14t²-12t-2 | разделим каждый член на 2 (сократим коэффициенты)
7t²-6t-1=0
Ответ дал:
0
Точно, огромное спасибо, с этим сокращением коэффициентов всегда были проблемы.
Ответ дал:
0
))
Ответ дал:
0
Вам тоже огромное спасибо!
Ответ дал:
0
Я рада помочь
Вас заинтересует
2 года назад
7 лет назад
7 лет назад
10 лет назад
10 лет назад