• Предмет: Алгебра
  • Автор: kikvoronune
  • Вопрос задан 9 лет назад

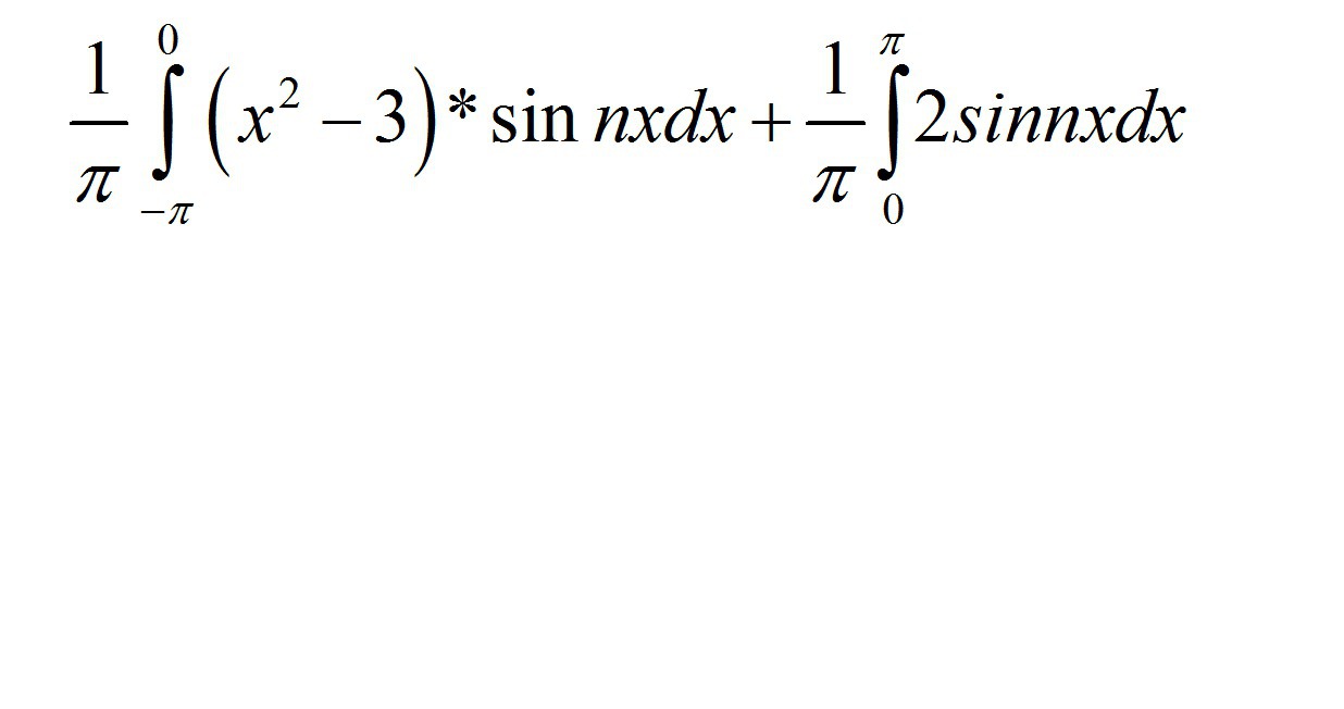
Помогите , пожалуйста, решить данный интеграл , а то у меня бред выходит какой-то. Прошу не решать по решению интегралов онлайн

Приложения:

Ответы

Ответ дал: NNNLLL54
0
1)quad int (x^2-3)sin, nx, dx=[u=x^2-3,; du=2x, dx,\\dv=sin, nx, dx,; v=-frac{1}{n}cos, nx; ]=-(x^2-3)cdot frac{1}{n}cos, nx+\\+int frac{2}{n}xcos, nx, dx=[u=x,; du=dx,; dv=cos, nx, dx; ,\\v=frac{1}{n}sin, nx; ]=(3-x^2)cdot frac{1}{n}cos, nx+frac{2}{n}left (frac{x}{n}sin, nx-frac{1}{n}int sin, nx, dxright )=\\=(3-x^2)cdot frac{1}{n}cos, nx+frac{2}{n^2}codt x, sin, nx-frac{2}{n^3}cdot cos, nx+C;

2)quad frac{1}{pi }int limits _0^{pi }2, sin, nx, dx=-frac{1}{pi }cdot frac{2}{n}cdot cos, nx; |_0^{pi }=-frac{2}{pi n}cdot (cos(pi n)-cos0)=\\=-frac{2}{pi n}cdot ((-1)^{n}-1)\\3)quad frac{1}{pi }int limits _{-pi }^0(x^2-3)sin, nx, dx=(3-x^2)frac{1}{n}cos, nx|_{-pi }^0+\\+frac{2}{n^2}cdot xcdot cos, nx|_{-pi }^0-frac{2}{n^3}cos, nx|_{-pi }^0=\\=frac{3}{n}cdot 1-(3+pi )cos(-pi n)+frac{2}{n^2}(1-cos(-pi n))-frac{2}{n^3}(1-cos(-pi n))=

=frac{3}{n}-(3+pi )cdot (-1)^{n}+frac{2}{n^2}(1-(-1)^{n})-frac{2}{n^3}(1-(-1)^{n})=\\=frac{3}{n}-(3+pi )(-1)^{n}+frac{2}{n^2}(1-(-1)^{n})cdot (1-frac{1}{n})=\\= left { {{frac{3}{n}-3-pi ; ,; ; esli ; n-chetnoe} atop {frac{3}{n}+3+pi +frac{4}{n^2}(1-frac{1}{n}); ,; esli; n-nechetnoe}} right.

4)quad A=frac{3}{n}-(3+pi )(-1)^{n}+frac{2}{n^2}(1-(-1)^{n})(1-frac{1}{n})-frac{2}{pi n}((-1)^{n}-1)=\\=frac{3}{n}-(3+pi )(-1)^{n}+(1-(-1)^{n})cdot (frac{2}{n^2}(1-frac{1}{n})-frac{2}{pi n})


Ответ дал: kikvoronune
0
и все же, тут тоже ужас выходит. И это теперь надо подставить в сумму разложения фурье :D
Ответ дал: kikvoronune
0
Ну там была система (x^2-3) от -pi до 0, и просто 2 , промежуток от 0 до pi, так что думаю так для коэффициента Bn
Ответ дал: NNNLLL54
0
Тогда верно. Когда функция задана системой,то такое бывает.
Вас заинтересует