• Предмет: Алгебра
  • Автор: Артур998
  • Вопрос задан 9 лет назад

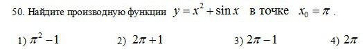
Решите номер 50. Есть вложение.

Приложения:

Ответы

Ответ дал: r2d23
0
y'=2x+cosx
y(pi)=2pi-1
Вас заинтересует