• Предмет: Алгебра
  • Автор: Артур998
  • Вопрос задан 9 лет назад

Решите номер 56. Есть вложение.

Приложения:

Ответы

Ответ дал: Artem112
0
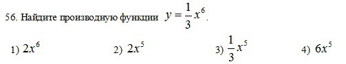
y= frac{1}{3} x^6
\
y'= frac{1}{3} cdot 6x^5=2x^5
Вас заинтересует